宁乡学子闪耀星城!2025长沙中小学生艺术大赛获奖全名单公布
创始人
2026-01-16 21:01:11
0

2025年长沙市中小学生艺术作品评选宁乡获奖名单根据长沙市教育局《2025年长沙市中小学生艺术作品评选结果通报》整理。“宁乡家长”坚持传递教育中的美好,分享美好教育。我们一起为获奖的孩子鼓掌祝贺,愿每个孩子都能健康快乐成长!

1

高中组获奖名单

1

初中组获奖名单

1

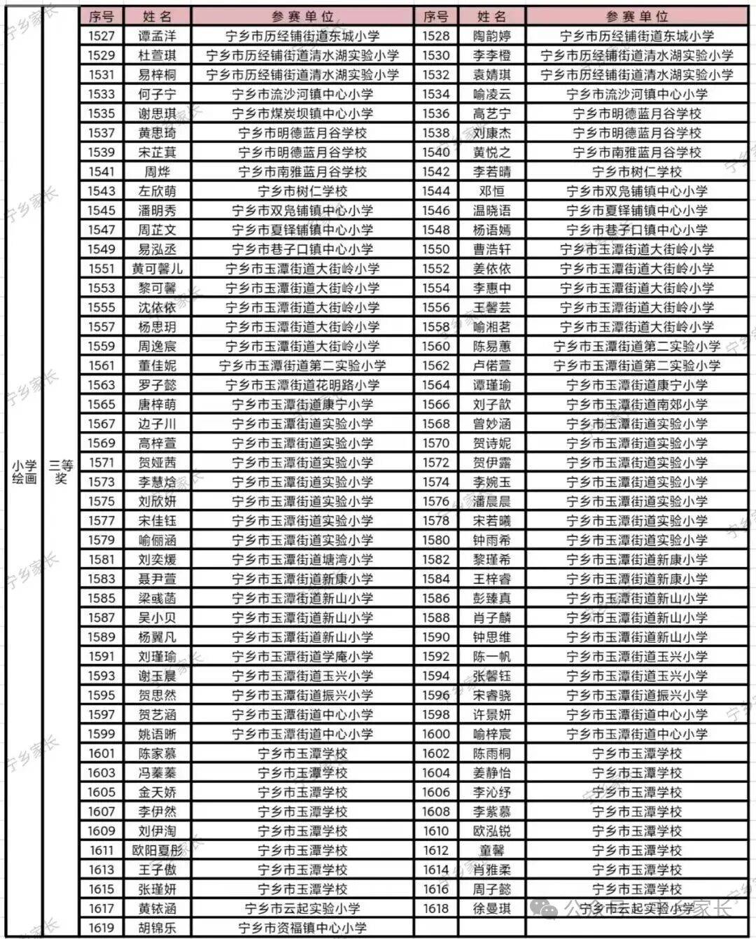
小学组获奖名单

1

优秀指导教师获奖名单

名单较多,虽反复核对,如有错误,请留言指正!

来源:宁乡家长根据长沙市教育局文件整理

点亮

让世界看到宁乡

相关内容

热门资讯

賣茶如金:席捲全球的秘史 基本信息 作者: 威廉.H.烏克斯(William H. Ukers) 出版社: 柿子文化 副标题:...
原创 朱... 《荷塘月色》是朱自清的代表作,被誉为现代散文的经典之作。然而,这篇文章也并非十全十美,其中不乏一些批...
原创 老... 一组清末津芦铁路老照片。津芦铁路从天津到北京西南郊芦沟桥,1895年建设,1897年6月全线通车。1...
丘壑在怀 笔墨传神:品读王振民... 王振民,号五味子,1947年12月生于山东阳信。当代著名画家,现为中国书画艺术促进会常务理事、山东省...
【文史英华】宋代文人的俳谐之风... 欢迎关注“方志四川”! 宋代文人的俳谐之风 徐雅琴 宋代文学总体上雅俗共赏、理趣兼备。其中,一种“以...
2025写生随想—朱铁力 朱铁力,现为中国美术家协会会员,北京美术家协会会员,李可染画院青年画院画家。 乙巳岁末 ,写生之旅接...
原创 海... 第12集:小分队计划劫持太子 曹晟他们不能坐以待毙,于是决定挟持太子,他们知道太子会去狩猎天马,所...
原创 明... 张辅(1375年-1449年9月1日),字文弼。河南祥符(今河南省开封市)人。张辅是明朝初年重臣、名...